安下载
当前位置:首页  »  安卓游戏  »  动作冒险  »  另一个幸存者
另一个幸存者

另一个幸存者

官方免费安全

标签:

肉鸽游戏  割草游戏  Meta元素  

玩家满意度

  • 截图
  • 介绍
  • 更新
  • 信息
  • 网友评论

安卓游戏介绍

《另一个幸存者》是由绿豆汤制作的吸血鬼幸存者like游戏,游戏玩法为轻度肉鸽动作冒险。在这款游戏中,玩家将看到许多熟悉的吸血鬼幸存者元素。玩家将化身一名吸血鬼大杀四方,在随机生成的地图中开启杀戮挑战,挑战时长为十五分钟,玩家需要控制角色消灭四面八方如潮水般涌入的敌人。游戏每局地图都是随机生成,怪物种类丰富数量颇多,加上模拟摇杆以及自动战斗系统,给玩家带来割草般的爽感。

另一个幸存者游戏玩法教程

1、进入游戏,选择游戏名和角色性别,先创建一个角色;

2、然后进入游戏首页,如果是新手的话,点击进入新手引导;

3、游戏开始后,英雄会自动攻击,击败敌人后,英雄会获得经验;

4、每次击败后英雄就会升级,并会随机获得3张1-9级的卡片,同时也会获得一些集星进度,选择一张卡片继续游戏;

5、如你如果选择群攻卡片的话,当群攻>=100%时,全功单位数量为:群攻/100向下取整~群攻/100向上取整。群攻上限为1000%,当群攻>=1000%时,剩下的群攻会自动转化为额外伤害,不同的卡片有不同的属性加成;

6、之后,玩家根据自己的需求,选择不同的卡片,直至游戏结束;

7、返回主页后,点击开始游戏;

8、之后玩家就选择自己想要的卡牌,开启收割吧。

另一个幸存者最新版怎么加点

一、总前提

平均分配加点,能点啥点啥,因为不同属性和技能之间是相乘关系,属性包含6维,加点也是平均分配。前期星星不够用,加点有优先级。

二、个人建议

前期加点顺序是分身1级、进阶1级、属性点、祝福1级、收获1级、剑雨1级,之后再分身、进阶、属性点不断循环。属性点加多少看你自己喜欢,剑雨看你感觉去加。

主要是我只有五百多星星,后期啥样我也猜不到,感觉技能加到5级就够了,后期是加属性为主,属性是六次方,提升幅度太大了。

三、原因:

1、属性点问题。

属性点是战斗中卡片和羁绊增加的百分比,对战斗提升很大。

这是没加属性的情况下1级暴击是12%

属性加到9级后,此时的暴击1级从12%增加到17.4%,增幅45%。

2、技能问题。

分身和进阶提升的输出是实打实的,对所有伤害均有加成。

剑雨很容易伤害溢出,触发了也就那么回事,关键是剑雨还存在输出上限,群攻弹射好像最高9次,攻速一秒忘了几下了,反正都有上限,超出上限就只加伤害,而这超出上限加的伤害剑雨享受不到。但前期用还是可以凑合的。

祝福这东西,只对卡牌有加成,对羁绊没有加成,点1级拼脸就行,不值得多点。

收获更坑,概率低,加的属性不稳定,点1级拼脸就行。

嗜血加的伤害也是实打实的,但前期实在没啥用,而且加的系数太低了,后面才慢慢追上来。前期不建议加。

最后说明一下,我看到分身能触发进阶,分身能不能触发剑雨我没看清,但应该能。至于进阶能不能触发剑雨,我是真看不出来。要是不能触发的话,剑雨表现的就更差劲的,不能作为其他技能和属性点的系数去相乘,丢的伤害可不是一星半点。

另一个幸存者游戏攻略

游戏阶段及玩法

1、学前

如果你还没有通关第一次,这是一个肉鸽选卡游戏,那么主要要讲的是怎么选卡。

1.1秒伤

在战斗界面,如图

这是这个游戏的核心,当你的秒伤大于推荐的时候,基本上意味着你能继续存活,反之大概率很快要死。注意这里秒伤在前推荐在后,5788是秒伤,5281是推荐。于是游戏就变成了如何选牌来让你的秒伤最大化。

1.2选牌原则

总共8种卡牌类型,经验和祈福可以算作成长类卡牌,其他的都是战力类卡牌。经验祈福提供的是后期能力,而战力卡牌构成了秒伤。

大致原则是,当你的秒伤远高于推荐的时候,选择经验和祈福,否则选秒伤牌。选牌时一般选择等级高的卡或者+2的卡,如果都差不多选择牌少的那个。如果秒伤比较吃紧可以去凑羁绊提战力。

这里要提到的是,攻击、攻速、暴击、增伤、弹射、群攻里面没有哪个比哪个好的说法,均衡的加点能最大化秒伤。经验和祈福相比,经验偏重前中期,祈福妥妥大后期,并且祈福是指数级增长的后期牌。

2、入门

基本上注意以上的点就能够通过第一关了。来到难度5以上,这个游戏就变成了一个养成游戏,你会发现随着难度的提升,基本上打不过。就需要利用星星进行加点,提供场外的天赋能力。

星星比较少,例如50一下的时候,可以选择点技能,收获、分身是比较好的,可以各加一级。

星星多起来的时候,不能都加在技能上,要匀一半给属性点,属性点加点要均衡,各一级。

关于技能的点法我不太清楚,各种的都有。看到论坛里常见的就是分身和进阶各6级,其余的收获和祝福点1级。群里榜一大佬难二都不会好像说平均加,收获和祝福可以多加一点。

这是我目前的点法,大家随意参考一下,关键点是要点属性,均衡点。

3、进阶

这游戏到了这里就变得非常肝了,你只能不停打,打又打不过,只能混点星星,星星高了才能推后面的关卡。另一方面它的选卡策略其实挺单一的,玩多了就没什么乐趣。它又不像放置游戏,它需要你不停的去战斗,关键战斗也不省心,游戏内置了自动模式和AI选卡模式,两个模式都挺蠢的,根本走不远,还得手动选卡。

3.1选卡逻辑量化

我想了想选卡逻辑其实不太难的,我在游戏里也找不到可以设置选卡逻辑的地方,于是干脆自己造一个

大致想法就是 1学前 里所说的选卡逻辑,并量化出来了,计算卡牌价值的伪代码如下

step1 卡牌价值 = 卡牌等级 + 基础价值bias

step2 如果是两张卡,卡牌价值 = 卡牌价值 x 2

step3 如果是祝福卡,卡牌价值 = 卡牌价值 x 1.2

step4 如果是两张卡, 卡牌价值 = 卡牌价值 + 1

step5 如果选卡之后羁绊会升级,卡牌价值 = 卡牌价值 + 5

step6 如果卡牌类型是祈福, 卡牌价值 = 卡牌价值 + 祈福补偿

step7 如果卡牌类型是经验, 卡牌价值 = 卡牌价值 + 经验补偿

其中,祈福和经验补偿这样来设计,秒伤推荐比>=2的时候,祈福补偿=1000,这样其他秒伤牌就不会被选到;同理,当秒伤推荐比小于某个值比如1的时候,让祈福补偿为-1000,这样祈福牌就不会被选到。

其中,基础价值bias是为了平衡双卡算法的,step4 +1的想法是因为双卡有一个增加羁绊的好处。

计算完每一张卡的价值后,选择价值最大的那张卡。

3.2测试猫

有了核心的选卡逻辑,后面就是用程序来自动化,我用到的工具是 测试猫,需要电脑连接安卓手机,JavaScript语言。

上手超级简单,我一个没接触过java的人10分钟就学会了。大家稍微看一下,很快就学会了。这个环节也是我乐趣最大的一个阶段,我写了我人生当中第一个游戏脚本。

4、高阶

经过阶段3,那么这个游戏已经是一个放置游戏了。那么乐趣就回归到如何更合理的选卡,这就成为一个数学建模游戏。以下是一些我的头脑风暴,还没有入手。主要是懒得动脑想公式,想用强化学习来做。

4.1数学模型构建

4.1.1目标函数

这个游戏的核心其实,怎么选卡使得秒伤最大,这个秒伤还不是当期的秒伤最大,还包括了未来至游戏结束内的秒伤最大,并且该秒伤要大于推荐秒伤。

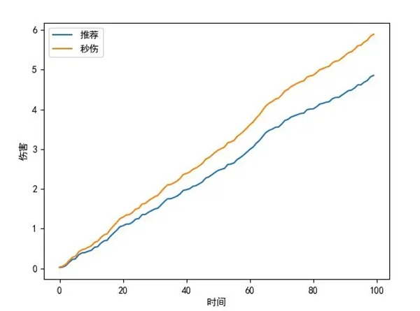
可以在坐标轴内对秒伤和推荐秒伤画两条曲线,纵坐标是伤害,横坐标是时间

如图橙色是秒伤曲线,蓝色是推荐曲线。这样游戏的目标可以定义为这两条曲线间的面积最大化

max loss = 求和 Dy(t, pi) - Ds(t)

其中Dy(t, pi)为t时刻,采取选卡策略pi下的秒伤, Ds(t)为t时刻的推荐秒伤

有约束条件s.t. Dy(t, pi) >= Ds(t),即保证在过程中保证秒伤不低于推荐

4.1.2网络及输入输出

Dy(t, pi)的函数形式考虑用全连接网络就够了

输入选卡时三张卡的信息,已有的这堆数据,如下图

可能还需要技能加点数据和时间数据。

技能加点不好归一化,可以考虑借鉴transformer里面的embedding的做法,一种技能一个等级视作一个类别,然后建立一个查询table。但是也可以先不管加点,视作统一的加点来做这个模型。

加入时间数据是考虑到推荐秒伤可能在某些时间点暴涨

5、结语

人玩游戏,不是游戏玩人。希望大家保持学习,保持进步,生命珍贵,不要沉溺于肤浅的欲望之中。

游戏亮点

1、星星:天赋点&等级,用于提升属性与技能;

2、金币:抽怪用,怪够的时候尽量不用;

3、体力:不是一直输基本上用不完;

4、离线经验:提升星星等级需要的经验;

游戏特色

1、另一个幸存者是一款动作游戏,在这款游戏中玩家将会在15分钟内来尝试生存的更加长久。

2、玩家可以来不断的与敌人展开战斗,同时也要收集星星,升级自己的实力迎战。

3、多样性的组合方式,随心所欲的PK,让你帮助另外一位与你一起战斗的幸存者。

安卓游戏更新

v60版本

例行版本更新

查看>

游戏信息
  • 分类:动作冒险
  • 授权:免费(安卓游戏内购买项目)
  • 语言:简体中文
  • 版本:v60
  • 大小:72.64M
  • 年龄:16+
  • 备案号:沪ICP备16012525号-73A
  • 版号:
  • 厂商:绿豆汤001
热门推荐
造梦西游ol

造梦西游ol

2020.35M | 02-10

造梦西游ol是一款好玩的2D横版冒险闯关游戏,熟悉造梦西游的玩家们一定对这款游戏不会感到陌生,这正式根据同名页游改编而来的造梦西游手游版!优秀的趣味玩法和丰富多彩的关卡设定,配上紧张刺激的战斗玩法,让你爱不释手。在战斗冒险中不断升级,取得更加强大的武器,习得更加炫酷的技能吧!唐僧、悟空、八戒、沙僧和琉离五大角色等你来选,再走西游路!感兴趣的玩家赶紧下载试试吧!

下载
我的勇者官服

我的勇者官服

1397.49M | 02-10

我的勇者官服,这是一款非常好玩的像素风弹幕射击手游。游戏采用经典像素风格,玩家将扮演一位勇者来到神秘的地牢世界中并开启战斗冒险之旅。游戏提供了五种职业设定,每种职业都具有专属的技能和属性,并且还有配备的武器、技能等,每种武器都有特定的属性,属性之间具有相互克制的特点,玩家需要根据敌人选择合适的武器进行战斗。通过不断地闯关战斗,玩家可以逐步提高勇者实力,成为最厉害的勇者!

下载
耀世格斗

耀世格斗

53.83M | 02-10

耀世格斗是一款横版3D格斗手游,玩家将来到这个融合着西方魔幻的奇幻世界中,如今魔物肆虐,我们需要以御灵家继承者的身份登场,掌控灵能之力,在不断战斗与探索中揭开大陆尘封的真相。玩家开局可以选择自己喜欢的职业,并通过多次转职与深度天赋系统,自由打造专属成长路线。游戏内设有主线剧情、副本挑战、世界BOSS以及多人团本等多种内容,同时公平竞技场取消装备压制,更考验操作与意识。

下载
魔法工艺

魔法工艺

566.65M | 02-10

魔法工艺是一款魔法动作roguelike游戏,英文名叫Magicraft,玩家在游戏中将来到一个魔法奇幻世界,并扮演拔出了传说法杖的勇者,你需要利用各种各样的法术搭配出眼花缭乱的法术效果,来消灭冒险途中的怪物,最后击败古神、拯救这个被古神入侵的世界!游戏内有着上百把独特属性法杖、80种能带来各类增益且改变角色外观的强力遗物,以及9款初始角色套装,各种技能搭配令你的游玩不会枯燥重复!感兴趣的话就赶快关注下载吧!

下载
境界刀鸣官服

境界刀鸣官服

1841.33M | 02-10

境界刀鸣官服,这是一款以死神动漫ip改编而来的3d动作手游。游戏还原动漫中的经典角色、剧情、场景等内容,并且采用顶尖物理引擎,画面精美、特效炫酷,带给玩家原汁原味的游戏体验。玩家需要巧妙搭配多元阵容来应对不同的敌人。为了丰富玩家的游戏体验,游戏还加入了角色培养系统与角色定制玩法,大大增加了游戏的可玩性。

下载
超自然行动组官服

超自然行动组官服

790.17M | 02-10

超自然行动组官服,原名叫代号超自然,是一款支持多人联机的欢乐恐怖游戏。游戏中,玩家将化身为超自然行动组的成员,玩家可以独自前往一系列神秘的区域内进行冒险,也可以携手好友组成冒险小队开启探险之旅,目的是为了探寻隐藏起来的古董,古董越多的地方,危险就越大。在玩家探寻的过程中会有各色各样的怪物们进行阻挡,玩家可以利用游戏道具,比如手电筒、电击枪等道具帮助自己更轻松地完成冒险之旅。

下载
奥特曼传奇英雄小米版

奥特曼传奇英雄小米版

1246.77M | 02-10

奥特曼传奇英雄小米版是由合肥乐堂动漫信息技术有限公司推出的经典奥特曼格斗手游,游戏完美的奥特的形象和战斗技能,带给大家非常不错的童年回忆。玩家可以操控多种奥特曼角色,与敌人展开激烈对战,体验记忆中的热血战斗。每一场战斗都充满刺激与挑战,无论是单人模式还是多人竞技,能带来精彩的游戏体验。

下载
奥特曼传奇英雄

奥特曼传奇英雄

1256.45M | 02-10

奥特曼传奇英雄是由合肥市乐堂动漫信息技术有限公司打造的一款以奥特曼为主题的战斗游戏,游戏采用经典的原版画风,和看动漫一模一样,让玩家感受到奥特曼的正义与力量。游戏提供多样化的战斗内容,超多熟悉的奥特曼角色等你来操控,和奥特曼一起打败怪兽。玩家可以通过不一样的技能组合来发挥出不一样的效果。无论是单人挑战还是多人对战,都能带来丰富的游戏体验。

下载
航海王热血航线九游版

航海王热血航线九游版

1703.11M | 02-10

航海王热血航线九游版是由北京朝夕光年信息技术有限公司推出的一款根据动漫改编的冒险战斗类型的手游,游戏完美的动漫中的人物角色,绘制的非常的真实。每个角色都拥有独特的技能连招,不同的角色之间的玩法都是不一样的。游戏玩法也是非常的丰富的,既有刺激的PVP对战玩法,还有非常不错的副本玩法,喜欢的玩家快来试试吧。

下载
航海王热血航线

航海王热血航线

1703.11M | 02-10

航海王热血航线是由北京朝夕光年信息技术有限公司推出的一海贼王系列手游,游戏是获得了正版授权的,大家可以放心玩耍。在游戏中,完美还原了原作中的经典角色和场景,采用高品质建模,各种角色绘制的非常的精致。游戏内的角色技能都是和动漫里面的一样,玩起来的体验感极佳。主打实时PVP对战玩法,支持多人在线匹配。

下载
三国战纪风云再起

三国战纪风云再起

1953.14M | 02-10

三国战纪风云再起是一款经典的横版动作街机闯关游戏,玩家将在游戏中亲身体验过五关斩六将的快感,除了基础的攻击,移动和技能释放以外,还有不少的游戏道具能为你闯关杀敌提供助力。游戏内还原了诸多三国剧情故事,你可以在游戏中尽情回味经典,熟悉三国历史。不断提升自身实力成为三国时代的一位猛将吧!感兴趣的玩家可以下载体验一下。

下载
崩坏3九游版

崩坏3九游版

670.21M | 02-10

崩坏3九游版是由米哈游推出的一款二次元动作冒险类型的游戏,在游戏中,游戏以科幻末世为背景,玩家作为指挥官,你需要做的就是指挥女武神角色去进行战斗。游戏包含丰富的角色收集与培养系统,每位美少女角色都拥有独特的战斗风格和技能组合。还支持触摸玩法哦,玩家点击角色的身体就会得到回应,非常的刺激有趣。

下载
崩坏3官服

崩坏3官服

670.21M | 02-10

崩坏3官服是由上海米哈游影铁科技有限公司推出的一款二次元动作手游,游戏内有着丰富的二次元美少女角色等你来选择。每个角色都拥有专属的技能招式与战斗风格,为玩家带来多样化战斗体验。精美的画面、流畅的操作与炫酷的特效,打造了一个充满科幻的异世界。游戏内的剧情也是非常的丰富的,玩起来的体验感极佳。

下载
迷途之光

迷途之光

231.42M | 02-10

迷途之光一款像素风弹幕射击肉鸽游戏,有着独特的技能自由组合系统、多样化的冒险家角色、丰富的天赋设定,能够给玩家带来多样有趣的游戏体验。在肉鸽增益的不断组合之下,你还可以创造出各种花式流派,享受技能组合带来的无限可能。各种玩法与彩蛋也能让你在探索世界的过程中充满新鲜感!感兴趣的话就下载试试吧!

下载
冒险者日记

冒险者日记

473.84M | 02-10

冒险者日记是一款由上海海彼网络科技有限公司打造的冒险闯关游戏,在游戏中,玩家将扮演一只可爱的卡皮巴拉,开启一段既惊险又充满乐趣的冒险旅程。游戏内的玩法很多,除了经典的闯关冒险玩法,还有非常经典的Roguelike玩法。玩家可以从多种技能中进行选择,体验多变的战斗方式,享受全新的冒险玩法。

下载
贪婪洞窟

贪婪洞窟

318.34M | 02-10

贪婪洞窟是一款地牢探险肉鸽游戏,游戏整体画风神秘而诡异,结合了冒险、策略、动作、解谜多种元素。你需要做的就是打怪、升级、获取装备,在角色养成、装备收集、装备养成、击杀BOSS等等游玩过程中获得的成就感与满足感。游戏剧情丰富,难度多样,还有许多彩蛋等你发现!感兴趣的话就来下载体验一下吧!

下载
奥特曼之格斗超人

奥特曼之格斗超人

736.55M | 02-10

奥特曼之格斗超人是一款奥特曼题材的动作格斗类游戏,玩家在游戏中将会化身捷德、迪迦、赛罗等奥特曼,对战宇宙怪物军团。游戏拥有超炫酷的技能特效展现,进行各种战斗冒险战胜不同的敌人,还设置了大量的副本供和各种各样的boss供玩家游玩。除了原生的奥特曼们,还提供了奥特曼融合功能,让玩家可以融合出属于自己的特殊奥特曼!感兴趣的话就赶快下载游戏,成为光之战士吧!

下载
失落城堡

失落城堡

293.33M | 02-10

失落城堡是一款Steam移植的融合了Roguelike元素的横屏动作冒险游戏。游戏中有着丰富多样的武器和道具,并且每种类型的武器都会随机分配一种技能,而道具中也会有随机BUFF的药水,例如有会攻击敌人的飞刀、炸弹等,也有能够召唤额外友军单位的亡灵书和魔法水晶,各种各样的武器道具让人眼花缭乱。

下载
小黄人快跑官方版

小黄人快跑官方版

373.35M | 02-10

小黄人快跑官方版是一款可爱休闲的无尽跑酷游戏,采用3D动画画面打造而成,游戏内的画面和场景非常的精致细腻,小黄人的各种形象与表情也刻画的活灵活现。玩家将操作小黄人成为秘密特工,通过上下左右的滑动,来帮助小黄人进行跳跃、滑行,及时躲避沿途出现的各种障碍、机关,并收集沿途香蕉。有着海量的小黄人时装等你来解锁,各类奇异地图等你来体验!感兴趣的话就赶快点击下载吧!

下载
逃离家暴2

逃离家暴2

234.65M | 02-10

逃离家暴2是一款冒险解谜逃脱类游戏,是《逃离家暴》的续作,作为第二部作品,游戏在画质上进行了明显的升级,整体剧情以及内容流畅度也十分的细腻。故事讲述了,主角的父母外出旅游,将主角送回了乡下的祖父祖母那边生活,但是这里并不像在家中那样的温馨,只有冷漠与苛刻的对待,你被不断使唤去干各种杂活,比如除草、粉刷栅栏、从井里打水等,长期的压迫让你逐渐产生了逃离的念头。

下载
奇葩战斗家

奇葩战斗家

1887.50M | 02-10

奇葩战斗家是一款第三人称轻竞技解压乱斗手游,战斗武器十分不寻常,打人的“自拍杆”还可以照亮你的美,挥动“小黄鸭”一锤夺命分分钟,花盆也能变身“豌豆枪”,时时刻刻都在上演一场团队爆笑互殴,花样乱斗模式超乎你想象,边打架还能秀表情包玩个痛快。感兴趣的话就赶快点击下载,加入这个爆笑战场吧!

下载
超自然行动组港服

超自然行动组港服

861.39M | 02-10

超自然行动组港服是一款多人联机生存摸金类的手游,融入了中式恐怖的元素使得这个题材的游戏变得非常的新颖。在游戏中,玩家将扮演超自然公司中的一名员工,可以单人行动也可以叫上两三个好友一起组队,前往迷雾重重、危机四伏的神秘古遗迹中开始探索。我们可以选择不同的角色,每一位员工角色都有独特的专属技能。因此在进入遗迹前,小队成员之间的合理搭配与分工协作显得尤为重要。

下载
超自然行动组台服

超自然行动组台服

861.39M | 02-10

超自然行动组台服是一款中式恐怖氛围营造的非常巧妙的恐怖逃脱类手游,游戏不仅仅只有逃脱元素,还加入了冒险与摸金的玩法,还可以多人联机,大家一起合作。在游戏中,玩家将化身为超自然公司的特工,与队友组队深入神秘遗迹,在阴森压抑的环境中展开行动。游戏主打“寻宝+撤离”机制,你不仅要在限定时间内找到足够有价值的宝藏,还要在怪物出没、机关遍布的古墓中成功脱身,才能提升段位并获得更高收益。

下载
野蛮人大作战2官网版

野蛮人大作战2官网版

1355.22M | 02-10

新派轻竞技游戏《野蛮人大作战2》已经正式上线!游戏中,玩家将化身为野蛮人酋长,与其他玩家一起展开欢乐竞技之旅~游戏内具有各色各样的野蛮英雄,每位角色都具有专属的技能,玩家可以邀请好友一起组队参加3v3菇霸争夺战,开局享受随机超能力,根据自己的喜好打造专属流派,消灭所有对手!除了3v3模式,游戏还提供了6v6的船长勾勾勾等模式,大大增加了游戏的趣味性和可玩性,感兴趣的小伙伴们快来下载玩耍吧!

下载
用户评论
0/200
评论内容需在5-200字之间~
验证码

评论

暂无评论,快来评论

网站声明:

本站资源由网友提供,版权归原作者所有;如果侵犯了您的权益,请来信告知,我们会尽快删除

Android下载 ↓
下载信息
  • 更新:2026-02-11 00:55
  • 评分:
  • 系统:需要支持安卓系统5.2以上
  • 平台:Android / iOS
  • md5:da69759b428efa982f4c398417eac003
  • 包名:xd.sce.projectvampire
  • 厂商:绿豆汤001
  • 隐私:查看
  • 权限:查看
动作冒险推荐
换一批
热门标签
换一批